- Лайфстайл
- Недвижимость
- Здоровье
- Природа
- Дизайн
- Техника и оборудование
- Бизнес и предпринимательство
- Искусство
- Религия
- Строительство и ремонт
- Сад и огород
- Аудиокниги
- Кулинария
- Интервью
- Развлечения
- Лайфхаки
- Эзотерика
- Охота и рыбалка
- Наука
- Политика
- Психология
- Аудио
- Технологии и интернет
- Красота
- Телепередачи
- Детям
- Аниме
- Хобби
- Видеоигры
- Юмор
- Образование
- Спорт
- Разное
- Путешествия
- Животные
- Новости и СМИ
- Мультфильмы
- Музыка
- Сериалы
- Фильмы
- Авто-мото
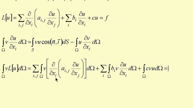
8а. Закон сохранения энергии и уравнения Максвелла
Рассмотрена связь системы уравнений Максвелла с законом сохранения энергии.
Занятие проводит доцент кафедры радиофизики ТГУ Д.В. Лосев.
Этот и другие материалы Вы можете найти на сайте "Методы математической физики" ( http://mmfbest.hostronavt.ru )
Видео 8а. Закон сохранения энергии и уравнения Максвелла автора Дмитрий Лосев
Видео 8а. Закон сохранения энергии и уравнения Максвелла автора Дмитрий Лосев
Информация
10 марта 2025 г. 5:04:38
00:39:19
Похожие видео


















