- Лайфстайл
- Недвижимость
- Здоровье
- Природа
- Дизайн
- Техника и оборудование
- Бизнес и предпринимательство
- Искусство
- Религия
- Строительство и ремонт
- Сад и огород
- Аудиокниги
- Кулинария
- Интервью
- Развлечения
- Лайфхаки
- Эзотерика
- Охота и рыбалка
- Наука
- Политика
- Психология
- Аудио
- Технологии и интернет
- Красота
- Телепередачи
- Детям
- Аниме
- Хобби
- Видеоигры
- Юмор
- Образование
- Спорт
- Разное
- Путешествия
- Животные
- Новости и СМИ
- Мультфильмы
- Музыка
- Сериалы
- Фильмы
- Авто-мото
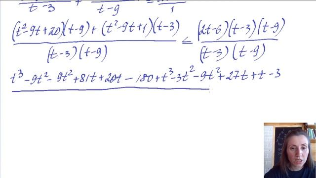
Разбор 20 задание 5 варианта ОГЭ по математике 2025 Ященко 36 вариантов
Разбираю 20 задание 5 варианта ОГЭ по математике 2025 Ященко.
Разбор первой части 5 варианта: https://rutube.ru/video/1a96d2f4543bf3c63b6211d9c14e2c08/
Я Анна Алексеевна - репетитор по математике. С 2008 года помогаю школьникам 5-11 классов подтянуть знания и оценки по математике, готовлю к ОГЭ и ЕГЭ база и профиль. Мои ребята сдают на 4 и 5, горжусь своими учениками!
Записывайтесь на индивидуальные занятия и в мини-группу по подготовке к ОГЭ.
Мои соц сети:
ВК: https://vk.com/anna_math5
Запрещенная соц сеть: https://instagram.com/anna_math5?igshid=YmMyMTA2M2Y=
Группа ВК с полезностями: https://vk.com/club199116446
Телеграмм https://t.me/anna_math5
⠀
Подписывайтесь на канал, ставьте лайк и колокольчик, чтобы не пропустить новые разборы!
⠀
⠀
#егэ
#огэ
#егэматематика2025
#огэматематика2025
#егэ2025
#огэ2025
#математика
#подготовкаегэ
#подготовкаогэ
#экзамены
ЕГЭ по математике
ОГЭ по математике
Алгебра
Геометрия
Вариант 1
Ященко
Первая часть
Вторая часть
Вычисления
Сравнение чисел
Степень
Обыкновенные дроби
Квадратное уравнение
Дискриминант
Корни квадратного уравнения
Теория вероятностей
Разложение на множители
Графики функций
Прямая линия
Текстовая задача
Квадратное неравенство
Метод интервалов
Арифметическая прогрессия
Треугольник
Площадь треугольника
Окружность
Подобные треугольники
Вписанный четырехугольник
Трапеция
Площадь
Расстояние от точки до прямой
Сложное уравнение
Замена переменных
Разность квадратов
Теорема виета
Текстовая задача на движение
Парабола
Модуль
Задача с параметром
Теорема о касательной и секущей
Задача на доказательство
Описанная окружность
Вписанная окружность
Ященко ЕГЭ математика 2025
Ященко ОГЭ математика 2025
Ященко 30 типовых вариантов
Математика 11 класс
Математика 9 класс
Подготовка к ЕГЭ 2025
Подготовка к ОГЭ 2025
ЕГЭ алгебра
ЕГЭ геометрия
ФИПИ ЕГЭ 2025
ОГЭ алгебра
ОГЭ геометрия
ФИПИ ОГЭ 2025
Видео Разбор 20 задание 5 варианта ОГЭ по математике 2025 Ященко 36 вариантов автора anna_math5
Видео Разбор 20 задание 5 варианта ОГЭ по математике 2025 Ященко 36 вариантов автора anna_math5
Информация
9 января 2025 г. 8:00:42
00:06:58
Похожие видео









![[UE5] Аура #vfx](http://pic.rutubelist.ru/video/2025-01-09/fb/f1/fbf1c61ce4cbaac00f12adfd72b31d10.jpg?size=s)












