- Лайфстайл
- Недвижимость
- Здоровье
- Природа
- Дизайн
- Техника и оборудование
- Бизнес и предпринимательство
- Искусство
- Религия
- Строительство и ремонт
- Сад и огород
- Аудиокниги
- Кулинария
- Интервью
- Развлечения
- Лайфхаки
- Эзотерика
- Охота и рыбалка
- Наука
- Политика
- Психология
- Аудио
- Технологии и интернет
- Красота
- Телепередачи
- Детям
- Аниме
- Хобби
- Видеоигры
- Юмор
- Образование
- Спорт
- Разное
- Путешествия
- Животные
- Новости и СМИ
- Мультфильмы
- Музыка
- Сериалы
- Фильмы
- Авто-мото
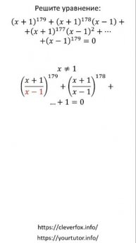
Реши уравнение с корнями и поступи в СУНЦ МГУ
Решим сегодня не то, чтобы сложное, но довольно забавное уравнение с корнями из вступительного экзамена по математике в 10 класс СУНЦ МГУ. В принципе, решить можно даже устно, просто подбором и обоснованием монотонности. Но мы решим методом, который не подразумевает угадывания корней. Итак, задание:
------------------------------------------------------------
Решите уравнение sqrt(x+22)+sqrt(x-22)=22
------------------------------------------------------------
Сайт репетитора по математике и физике: https://yourtutor.info/
Моя онлайн-библиотека для подготовки к вступительным экзаменам в лучшие школы: https://cleverfox.info/
VK: https://vk.com/yourtutor_info
Дзен: https://dzen.ru/phys_math_tutor
Telegram (общий канал): t.me/phys_math_tutor
Telegram (канал для подготовки к поступлению в лицей НИУ ВШЭ): t.me/school_hse
Telegram (канал для подготовки к поступлению в лицей Вторая школа): t.me/second_school_tutor
Telegram (канал для подготовки к поступлению в Университетскую гимназию МГУ): t.me/msu_gymn
Rutube: https://rutube.ru/channel/34711832/
Youtube: https://www.youtube.com/@yourtutor_info
Видео Реши уравнение с корнями и поступи в СУНЦ МГУ автора Репетитор по математике и физике
Видео Реши уравнение с корнями и поступи в СУНЦ МГУ автора Репетитор по математике и физике
Информация
12 ч. 50 мин. назад
00:00:48
Похожие видео






















