- Лайфстайл
- Недвижимость
- Здоровье
- Природа
- Дизайн
- Техника и оборудование
- Бизнес и предпринимательство
- Искусство
- Религия
- Строительство и ремонт
- Сад и огород
- Аудиокниги
- Кулинария
- Интервью
- Развлечения
- Лайфхаки
- Эзотерика
- Охота и рыбалка
- Наука
- Политика
- Психология
- Аудио
- Технологии и интернет
- Красота
- Телепередачи
- Детям
- Аниме
- Хобби
- Видеоигры
- Юмор
- Образование
- Спорт
- Разное
- Путешествия
- Животные
- Новости и СМИ
- Мультфильмы
- Музыка
- Сериалы
- Фильмы
- Авто-мото
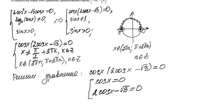
Рабочая тетрадь для подготовки к ОГЭ по математике доступна по ссылке в описании
Рабочая тетрадь для подготовки к ОГЭ по математике доступна по ссылке в описании
Подписывайся и готовься с экспертом на максимум!
https://taplink.cc/math.tutor.olga/p/c8aa8c/
Видео Рабочая тетрадь для подготовки к ОГЭ по математике доступна по ссылке в описании автора Математика с Ольгой
Видео Рабочая тетрадь для подготовки к ОГЭ по математике доступна по ссылке в описании автора Математика с Ольгой
Информация
10 мая 2025 г. 7:33:54
00:00:51
Похожие видео






















